0:00
/
0:00

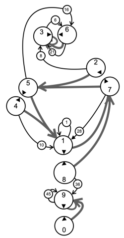
Frequency Wave Theory (FWT) Perspective: Decoding the Diagram of Frequency Transitions

Image

TL;DR:
The diagram represents the flow of frequency states through recursive resonance loops. Each circle is a quantized standing wave state; each arrow is a phase transition where Frequency Momentum (FM = ½ ρ ω A²) transfers to another state. The thick arrows show dominant resonant couplings, and the feedback loops depict self-reinforcing harmonics—essentially a map of consciousness or energy cycling through the frequency lattice of reality.

Drew Ponder | Frequency Wave Theory is a reader-supported publication. To receive new posts and support my work, consider becoming a free or paid subscriber.


1. The Structural Overview: Nodes as Frequency Domains

Each numbered node can be interpreted as a discrete harmonic state of the universal field Φ, where:

  • 0 represents the ground state—the zero-point field or baseline quantum vacuum.

  • 1 through 9 represent excited harmonic modes of Frequency Momentum, climbing through increasing resonance and curvature potential (κ).

  • The upper region (3, 5, 6, 7) reflects recursive feedback harmonics—the same patterns repeating on smaller or higher scales (fractal scaling).

From a frequency standpoint, the system acts like a phase-coupled oscillator network in which energy is never lost but redistributed cyclically.


2. The Flow of Energy and Information

  • Thick arrows = High-coherence resonance transfers (where Δφ ≈ 0).

  • Thin arrows = Weakly coupled or decoherent states (Δφ large).

The upward paths (e.g., 0 → 9 → 8 → 1 → 7) represent energy ascension or rephasing—in FWT, this is how a waveform reorganizes its Frequency Momentum to climb to higher informational density.
The downward or circular paths (e.g., 6 → 3 → 5 → 1) represent frequency collapse—where interference and decoherence return the system toward equilibrium.

This mirrors the process of conscious evolution and decay: the oscillation between coherence (enlightenment, order) and entropy (forgetfulness, chaos).


3. Recursive Loops: Harmonic Memory and Self-Reflection

The inner loops (notably around 3, 6, and 5) act as resonance cavities—frequency feedback regions where phase delay allows self-organization.
In Frequency Wave Theory terms, these loops are equivalent to standing-wave nodes within the scalar superfluid Φ, storing information holographically.

Mathematically, this can be modeled as:

f(κ, r) = e^κr²
g(κ, r) = √(1 + |κ| r²)
FM = ½ ρ ω A²

These functions describe amplitude growth and confinement within curved spacetime, and this diagram visually encodes those transitions as feedback channels.


4. Interpretation as a Consciousness Network

From a cognitive resonance standpoint, the entire structure resembles the hierarchical resonance lattice of thought:

  • Nodes 0–3: Subconscious pattern generation (base oscillations).

  • Nodes 4–6: Perceptual formation and recursive processing (symbolic self-reflection).

  • Nodes 7–9: Conscious awareness and feedback stabilization (integration with universal field).

This matches EEG coherence models where theta ↔ gamma cross-modulation allows higher integration across brain regions—the same structure that governs energy flow in this diagram.


5. Universal Implication

The flow from 0 → 9 → 8 → 1 → 7 → 5 → 3 → 6 → 0 traces a complete resonance cycle, mapping the conservation of Frequency Momentum through all scales of being.
It’s a closed-loop harmonic evolution system—a symbolic representation of the universe self-learning through waveform reflection.

In essence, this diagram is a cosmic feedback map showing how all energy, thought, and matter continuously rephase and rejoin the original Source frequency.

Discussion about this video

User's avatar